分布 二山 判定



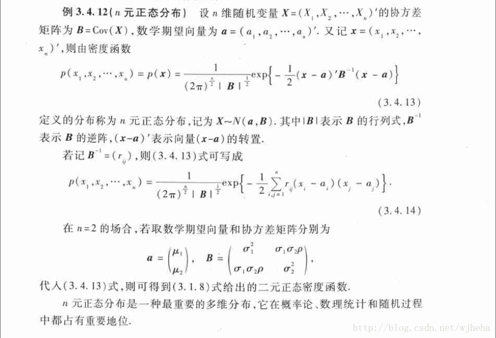
N元 维 正态分布 The Multivariate Normal Distribution Wjheha的博客 Csdn博客 联合正态分布

N元 维 正态分布 The Multivariate Normal Distribution Wjheha的博客 Csdn博客 联合正态分布

产品可靠性试验中失效率分布模型的考虑 知乎

产品可靠性试验中失效率分布模型的考虑 知乎

第2 章估计 数理统计讲义

第2 章估计 数理统计讲义

用圖像了解二項分布 每日頭條

用圖像了解二項分布 每日頭條

用圖像了解二項分布 每日頭條

用圖像了解二項分布 每日頭條

用圖像了解二項分布 每日頭條

用圖像了解二項分布 每日頭條

用圖像了解二項分布 每日頭條

二项分布最大值 泊松分布的推导 几何分布的推导 概统2 证明 刘瑛的博客 Csdn博客

二项分布最大值 泊松分布的推导 几何分布的推导 概统2 证明 刘瑛的博客 Csdn博客

高考地理常考12大题型 含例题 在考试中非常有帮助 特实用 知乎

高考地理常考12大题型 含例题 在考试中非常有帮助 特实用 知乎

N元 维 正态分布 The Multivariate Normal Distribution Wjheha的博客 Csdn博客 联合正态分布

N元 维 正态分布 The Multivariate Normal Distribution Wjheha的博客 Csdn博客 联合正态分布

概率论思维导图与例题 知乎

概率论思维导图与例题 知乎

图片集中展示 图片展示 引言 2013年4月20日芦山ms7 0级地震发生在青藏高原东缘龙门山断裂带南段 该地区自1970年大邑m6 2级地震之后 未发生过ms5级以上地震 并且至少在过去的1100多年中无m 7的大地震历史记载 属于长期缺少大震级 M 7 0

图片集中展示 图片展示 引言 2013年4月20日芦山ms7 0级地震发生在青藏高原东缘龙门山断裂带南段 该地区自1970年大邑m6 2级地震之后 未发生过ms5级以上地震 并且至少在过去的1100多年中无m 7的大地震历史记载 属于长期缺少大震级 M 7 0

Cebh3zg1 D4jfm

Cebh3zg1 D4jfm

命运多舛的日本 即将毁于国宝富士山 知乎

命运多舛的日本 即将毁于国宝富士山 知乎

主力成本 获利盘 套牢盘 主力 支撑 筹码分布藏着哪些操盘密 股窜网 系统学习股票知识 股票视频 股票书籍 股票学习网

主力成本 获利盘 套牢盘 主力 支撑 筹码分布藏着哪些操盘密 股窜网 系统学习股票知识 股票视频 股票书籍 股票学习网

理想的な入試問題とは その統計学的な考察 Nikkei Style

理想的な入試問題とは その統計学的な考察 Nikkei Style

风水学 二十四山怎么来定坐立向与格龙 分金 二十四山详解 中国易经网 周易预测风水八字培训网站

风水学 二十四山怎么来定坐立向与格龙 分金 二十四山详解 中国易经网 周易预测风水八字培训网站

网易轩辕剑龙舞云山大千世界符鬼怎么找分布位置分享 9号资讯

网易轩辕剑龙舞云山大千世界符鬼怎么找分布位置分享 9号资讯

铅山县英将乡小横村委会主任换届选举质疑多 村民有话说 看点快报

铅山县英将乡小横村委会主任换届选举质疑多 村民有话说 看点快报

主力成本 获利盘 套牢盘 主力 支撑 筹码分布藏着哪些操盘密 股窜网 系统学习股票知识 股票视频 股票书籍 股票学习网

主力成本 获利盘 套牢盘 主力 支撑 筹码分布藏着哪些操盘密 股窜网 系统学习股票知识 股票视频 股票书籍 股票学习网

第2 章估计 数理统计讲义

第2 章估计 数理统计讲义

关于给志恒筹款治疗的倡议书

关于给志恒筹款治疗的倡议书

中关村科技副总裁李斌 实践角度下的医养结合

中关村科技副总裁李斌 实践角度下的医养结合

液压传动王积伟答案 液压传动王积伟 液压传动答案 液压与气压传动王积伟

液压传动王积伟答案 液压传动王积伟 液压传动答案 液压与气压传动王积伟

假设检验总结hypothesis Test Jeeleeo的博客 Csdn博客 假设检验总结

假设检验总结hypothesis Test Jeeleeo的博客 Csdn博客 假设检验总结

Source : pinterest.com